Dobro se zagledajte u sliku! Da li vidite samo mozaik ili primećujete JOŠ NEŠTO? (FOTO)
Optičke iluzije su uvek zanimljiv način da proverite vaš način posmatranja stvari.
9.3.2026. 17:00
Šta vi kažete?
Foto: Prva
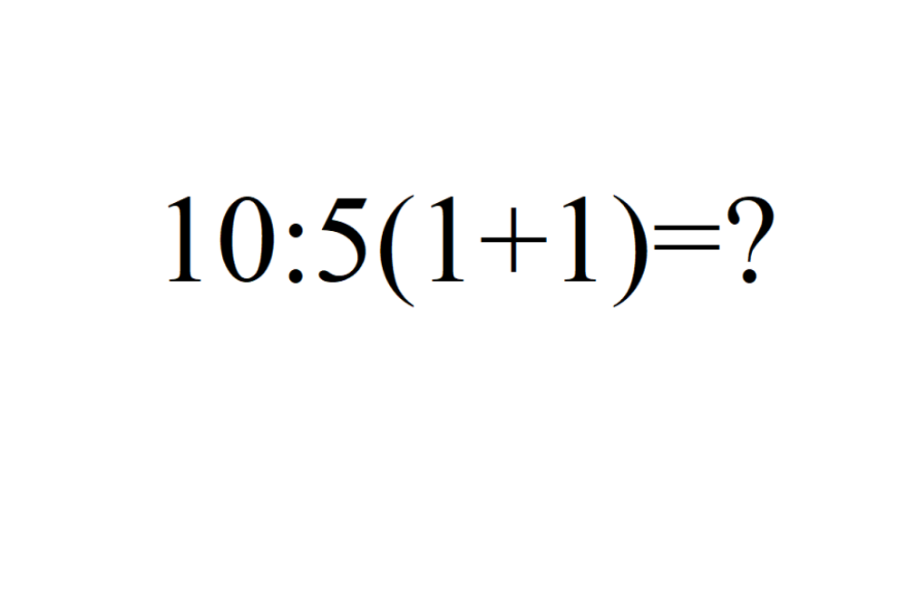
1.7.2025.|17:00
Izvor: Krstarica/M.O.
Zadaci, jednačine i matematičke operacije su pravi praznik za naš mozak, ali često ih ne cenimo. Mnogi, kada uoče brojeve na gornjoj slici, odmah osete početak stresa. Drugi bi možda želeli da pobegnu što je dalje moguće da bi zaobišli izazov. Ova vrsta pristupa retko daje tačan odgovor, koji je dostižniji nego što ste pomisli.
Ako niste sigurni odakle da počnete, pregledajte osnovna matematička pravila i formalni redosled operacija. Upoznavanje sa ovim osnovama čini jednačinu mnogo lakšom za rešavanje.
Svi smo učili matematiku i zato bi trebalo da budemo upoznati sa osnovnim principima. Međutim, da li je to zaista tako? Vremenom nam zaboravljeno znanje izmiče, ostavljajući nas nesposobnim da se nosimo sa matematičkim operacijama i zagonetkama koje zahtevaju ovo znanje. Shodno tome, mnogi ljudi prave ozbiljne greške, iznova dolazeći do pogrešnih zaključaka. Alarmantno veliki broj ljudi tvrdi da je rešenje ovog matematičkog zadatka broj 4, očigledno netačan odgovor koji nikada ne treba uzeti u obzir!
Prema pravilima matematike, sve zagrade moraju se prvo obraditi, a u ovom slučaju jednačina sadrži sabiranje unutar zagrada. Sada se čini da je operacija, transformisana u „10 : 5(2)“, lakša za rukovanje, što podstiče dalje izračunavanje. Sada morate ponovo da razmislite koju operaciju da izvršite prvo, pošto rezultat zavisi od ovog koraka. Prvo ćete se pozabaviti izrazom 5(2), koji podrazumeva množenje. Tako dobijate 10:10, što rezultira cifrom 1.
Pogrešno razumevanje redosleda operacija može da vas gurne u ćorsokak što dovodi do pogrešnog rezultata 4. Pojedinci koji su došli do ovog rezultata počeli su ispravno prvo uzimajući u obzir brojke u zagradi, ali su kasnije pogrešili rešavanjem jednačine s leva na desno, počinjući sa deljenjem.
Nažalost, ovaj metod ih je odveo na krivi put. Jednačina 10:5(2) nije ekvivalentna 10:5×2. Pet i priloženi sadržaj, kada nisu odvojeni znakom za množenje, čine jednu jedinstvenu neodvojivu celinu. Tek nakon množenja pet i sadržaja zagrade treba da pređete na deljenje.
Optičke iluzije su uvek zanimljiv način da proverite vaš način posmatranja stvari.
9.3.2026. 17:00
Milioner iz Dubaija Džamal Al Nadak privukao je pažnju svetske javnosti zbog poteza koji mnogi nazivaju "najskupljim gestom ljubavi ikada".
9.3.2026. 15:00
Vilica mu je pala na pod kada mu je par predočio bizarnu klauzulu.
9.3.2026. 14:00
Nakon dasaka premazanih maslacem i maslaca s ukusom votke, TikTok, nepresušan izvor viralnih fenomena, iznedrio je novi, još neobičniji trend koji spaja rekreaciju i kulinarstvo.
8.3.2026. 17:00
Vaše osobine ličnosti određuju kako komunicirate sa svetom oko sebe i kako reagujete na njega. Saznanje više o njima može vam pomoći da naučite gde se osećate najprijatnije.
8.3.2026. 14:00
Iako se osamdesete godine prošlog veka često povezuju s specifičnom pop kulturom, promenama društvenih normi i počecima moderne tehnologije, odgoj dece u tom periodu bio je znatno drugačiji.
8.3.2026. 10:16
Jeste li ikada ušli u prostoriju i osetili kako se atmosfera naglo ohladi? Ili ste vodili razgovor u kojem su reči bile ljubazne, ali je ispod površine tinjala neobjašnjiva napetost?
7.3.2026. 15:00
Ko bi rekao da se ovakve stvari dešavaju.
7.3.2026. 13:30
Još od malih nogu uče nas da ne tračarimo. Ta aktivnost se često smatra sitničavom, dramatičnom, pa čak i toksičnom.
7.3.2026. 10:02
Četiri rasprodate Arene u tri meseca predstavljaju jedan od najvećih koncertnih uspeha na domaćoj sceni u poslednjih nekoliko godina.
9.3.2026. 18:26
Voditeljka sa Žikom Nikolićem najavila novu sezonu emisije "Žikina šarenica" koja se od 14. marta emituje na Prvoj televiziji - subotom u 12.30!
9.3.2026. 13:09
Povodom godišnjice smrti Saše Popovića, osnivača i dugogodišnjeg direktora Grand produkcije, gledaoci su imali priliku da pogledaju dokumentarni film jednostavnog, ali snažnog i ličnog naziva „Sale“.
9.3.2026. 12:21
Poseban pečat u dokumentarnom filmu „Sale“ dali su njegovi prijatelji i dugogodišnje kolege, koji su kroz emotivna svedočenja dočarali kakav je Saša Popović bio kao vizionar, saradnik i prijatelj.
9.3.2026. 12:07
Pevačica Jelena Vučković se vraća na velika vrata na javnu scenu.
9.3.2026. 11:44
U protekloj emisiji ,,Zvezde Granda“, član žirija Đorđe David, učinio je jednu stvar mimo pravila koja važe u četvrtom krugu takmičenja, zbog čega je dobio upozorenje direktora produkcije, Gorana Šljivića.
9.3.2026. 10:42